筛查结果是阳性,就意味着生病了吗?
来源:科学大院
如今,“疾病筛查”正在我国逐步推广,被越来越多的人所接受。筛查的目的是尽早发现问题,尽早治疗,降低疾病带来的不良后果。不过,对于筛查的结果,你知道要如何看待吗?
比如,乳腺癌已成为全球及我国女性发病率最高的癌症。我国仅在2015年一年就有将近30万新增女性乳腺癌患者,及近7万因乳腺癌而死亡的女性(Chen et al。, 2016)。很多医学专家认为如果能及时筛查乳腺癌,患者可以得到更早的治疗,从而降低死亡率。目前一种比较流行的乳腺癌筛查手段是钼靶X光成像(mammography)。
那么,当一个人乳腺钼靶X光筛查结果是阳性,就一定患有乳腺癌吗?
(图片来源::中国疾控中心网站)
“真阳性”VS“假阳性”
与其它筛查手段一样,钼靶X光成像的结果不是100%的准确。具体说来,一名女性如果患有乳腺癌,钼靶X光成像会显示她患乳腺癌的概率大约是90%;而如果没有患乳腺癌,钼靶X光成像也会有大约9%的概率显示她患有乳腺癌。前者是所谓的“真阳性”率,而后者是“假阳性”率。这两个概率是回答一个对患者和医生都非常重要的问题的基础,那就是:“在知道阳性检测结果后,被检测人有多大概率真的患病呢?”
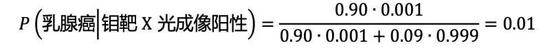
要正确回答这个问题,我们还需要知道该病的发病率。在我国,乳腺癌在45岁以上城市女性中的发病率大约是0.1%,即千分之一(Zuo et al。, 2017)。在这些信息的基础上,我们可以应用贝叶斯定律来推导出问题的答案:
在乳腺癌的例子中,P(患病)即是发病率0.001,那P(无患病)就是0.999;P(阳性|患病)是钼靶X光成像检测的真阳性率0.90,而P(阳性|无患病)是该检测的假阳性率0.09。将这些数值带入公式,答案就是:
这个0.01,也就是1%的结果可能给人带来两个思维上的冲击。
为什么只有1%?
钼靶X光成像的总体准确率有90%以上,为什么它给了一个阳性结果,显示被检测人患乳腺癌,而这个人只有1%的概率真的患有乳腺癌?
造成这个结果的主要原因是乳腺癌的发病率只有0.1%,在没有任何别的线索的情况下找到1000人中那1个患病的人,就像是大海捞针,非常困难。筛查测试是一个可以帮助我们缩小搜索范围的工具。但如果这个工具离100%准确还有一定距离的话,即使它给出的结果是阳性,找到“针”的可能性也会比较低。
有两个办法可以提高诊断确定性:第一,得到阳性结果后,再次检验;可以接着用钼靶X光成像,也可以用另外一种技术手段,例如准确率更高的--但也更危险、对人体伤害更大的——活体组织检查;第二,只有在出现疑似乳腺癌症状时,才去做钼靶X光成像。乳腺癌发病率在出现疑似症状的女性中要远比在普通女性中高。承接上面的比喻,对这些人而言,诊断乳腺癌不是大海捞针,而更像是小湖捞针,会容易很多。
这也太难算了吧!
第二个冲击是计算的困难程度。贝叶斯定律虽然在统计学和一些相关学科内应用较广,但普通人,包括受过高等教育的人,对其知之甚少,而且知道发病率,真阳性率,和假阳性率的数字后,也不知道是否应该用贝叶斯定律的方式将这些数字整合起来,推出结果是阳性时的真实患病概率。
再者,即使人们知道应该使用贝叶斯定律,其计算过程在没有笔纸或计算器的帮助下也比较繁琐,容易出错,导致错误的结论。所幸的是,这个问题心理学家们在上世纪90年代就已认识到,并给出了一个简单可行的解决方案(Gigerenzer Hoffrage, 1995;McDowell Jacobs, 2017)。
贝叶斯
计算竟能如此简单
对乳腺癌筛查问题,我们之前采用的是“概率”的陈述方式(i.e。,90%,9%,0.1%)。这种方式在现实生活中比较常见,也是贝叶斯计算所需的输入,但它会给我们的认知带来很多困难,不易应用。同样的问题,我们也可用“频数”的方式来表达。例如,我们可以这样描述那个乳腺癌筛查问题:
每10000名45岁以上城市女性中就有10人患有乳腺癌
在10名患有乳腺癌的女性中,有9名的筛查结果会为阳性
在9990名无乳腺癌的女性中,也有899名的筛查结果会为阳性
那么,当一名45岁以上城市女性筛查结果为阳性,而该女性确实患有乳腺癌的概率是多少?
这些陈述中的数字和它们之间的关系可用下图来表示。在这个图中,我们看到:一共有(9+899)= 908名女性筛检结果为阳性,但在这些人之中,只有9名是真正患有乳腺癌的。所以,问题的答案为 9/908 = 0.01。是不是简单了许多?
如何用基于频数的方式计算一个人筛检结果为阳性,但真正患乳腺癌的概率(图片来源:作者绘制)
如果你还想加深理解和记忆的话,下面是一个类似的问题,用概率的方式陈述。你可以尝试将其转化成频数的方式,得到答案(答案见本文末尾)。
计算小挑战
研究表明,用频数的方式可以显著提升人们解决类似问题的成功率(至少提高20%),如果有更为生动的视觉辅助,或者让人接受不到2小时的培训,那么成功率的提升会更高、效果会更持久(McDowell Jacobs, 2017;Sedlmeier Gigerenzer,2001)。一项对小学生的研究(Zhu Gigerenzer, 2006)表明:频数的方式可以让六年级的孩子平均正确回答60%的问题,而这一比例在概率方式下是0!
频数之所以有效是因为它让问题更容易理解和计算,而其下更深层的原因是它是人类在漫长的进化史中对风险和不确定性最常用的数字表征方式。无论是自然还是社会现象,我们的祖先对其观察和记录所用的是频数和频率(例如,在过去100个日出日落中,狼在东边山上出现过5次,其中有3次是同样一个狼群;在和河对面的部落的10次交易中,我们吃亏了3次但赚到了4次,等等)。
长久的积累让我们对处理这样的信息更熟练、更得心应手。而“概率”是个18世纪启蒙运动后才出现的概念。它的应用极大地促进人类社会方方面面的进展,但不是普通人理解数字的自然方式,需要通过正式的教育才会被逐渐接受和掌握。
结语
健康的生活离不开医疗。但和很多领域一样,医疗中充满了风险和不确定性。本文讨论了其中一个与每个人都息息相关的不确定性问题,那就是:当我们拿到一个阳性测试结果时,真正患病的概率是多少。因为几乎没有测试是100%准确的,所以这个概率在绝大多数情况下不是100%。
在获得或估计相关信息后(包括疾病的发病率和测试的真阳性和假阳性概率),我们建议用频数的方式去推测出答案。这适用于芸芸大众,对负责解读测试结果的医生们更是如此。
(图片来源:veer图库)
最后,之前那道关于某种病毒问题的答案是:16.7%。你答对了吗?



